
甲醛,被稱為空氣中的“隱形殺手”,過量吸入,容易導致眼睛紅腫、喉嚨刺痛、過敏性皮疹等,嚴重者會誘發呼吸系統癌變!正是因為深知甲醛的危害,所以我們會選擇更加環保的家裝板材,且在新房裝修好后,都習慣讓它空置通風一段時間后再入住。

但其實,在日常生活中,網購的各種紙箱包裹,塑料、木制、皮革、紡織品等,如果品質不達標,同樣會產生大量的游離甲醛,時時刻刻都在污染室內空氣,讓我們防不勝防。所以說產品環保≠空間環保。
我們在選擇環保板材的同時,也可以選擇更具功能性的板材,讓空間也更加環保。兔寶寶除醛抗菌生態板就是一個可靠的選擇,它在自身環保的基礎上,兼具除醛抗菌的功效,讓家裝不再局限于產品環保。

除醛抗菌生態板,通過甲殼素、納米硅、納米銀三大功能科技材料,同步作用于浸漬膠膜紙,形成除醛抗菌防護層,達到除醛抗菌的功效。今天我們就來說說兔寶寶除醛抗菌生態板的其中一個功效——除醛。
天然有機物,健康無毒素
兔寶寶除醛抗菌生態板所含甲殼素源自海洋中的蝦蟹貝類的外殼,是自然界中迄今為止發現的唯一動物纖維素,被科學界認定為“第六生命要素”;納米硅片來自天然黏土,在捕捉消解甲醛的過程中,不產生任何有毒物質。
主動除甲醛,保護更周全
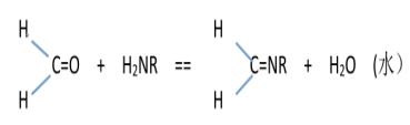
納米硅片源源不斷地捕捉空間內的甲醛、苯、TVOC等有害物質,再經甲殼素的活性氨基主動分解,最終形成為水分子和肟(wo),徹底消除甲醛。

除醛更徹底,健康每一天
兔寶寶除醛抗菌生態板,甲殼素與納米硅片均勻分布于防疫層中,所產生的“醛凈力”24小時不斷分解室內甲醛,凈化性能達75%以上,該技術獲國家授權發明專利,并榮獲中國專利優秀獎。

24小時不間斷除醛:
氣體分子撞擊后產生的永不停息的無規則運動叫做布朗運動。板材表面的甲醛分子無規則且不停地運動,一旦被甲殼素和納米硅“抓住”就會被分解成水分子和肟。分子擴散現象遵從高濃度向低濃度移動原則,除醛抗菌生態板的除醛反應使其表面形成了甲醛的低濃度區,所以甲醛分子會不停歇地向板面擴散,從而達到24小時不間斷分解甲醛的效果。
